晋文开管﹝20218  

  

  根据《土地管理法》,为了公共利益需要,县人民政府于202134日发布土地征收启动公告,经土地现状调查、社会稳定风险评估,县人民政府决定,拟征收北张乡苏家堡村集体土地14.2493公顷,并组织自然资源、财政、人力资源和社会保障等部门编制了征地补偿安置方案,现公告如下:

  一、被征地乡镇:北张乡

  二、被征地村民委员会:苏家堡村。

  三、权属状况:集体。

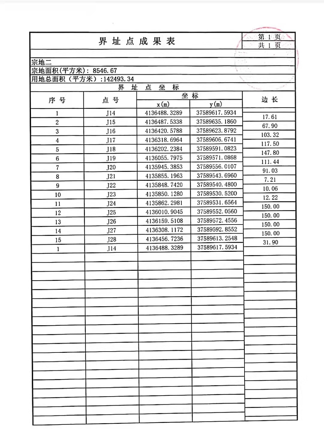
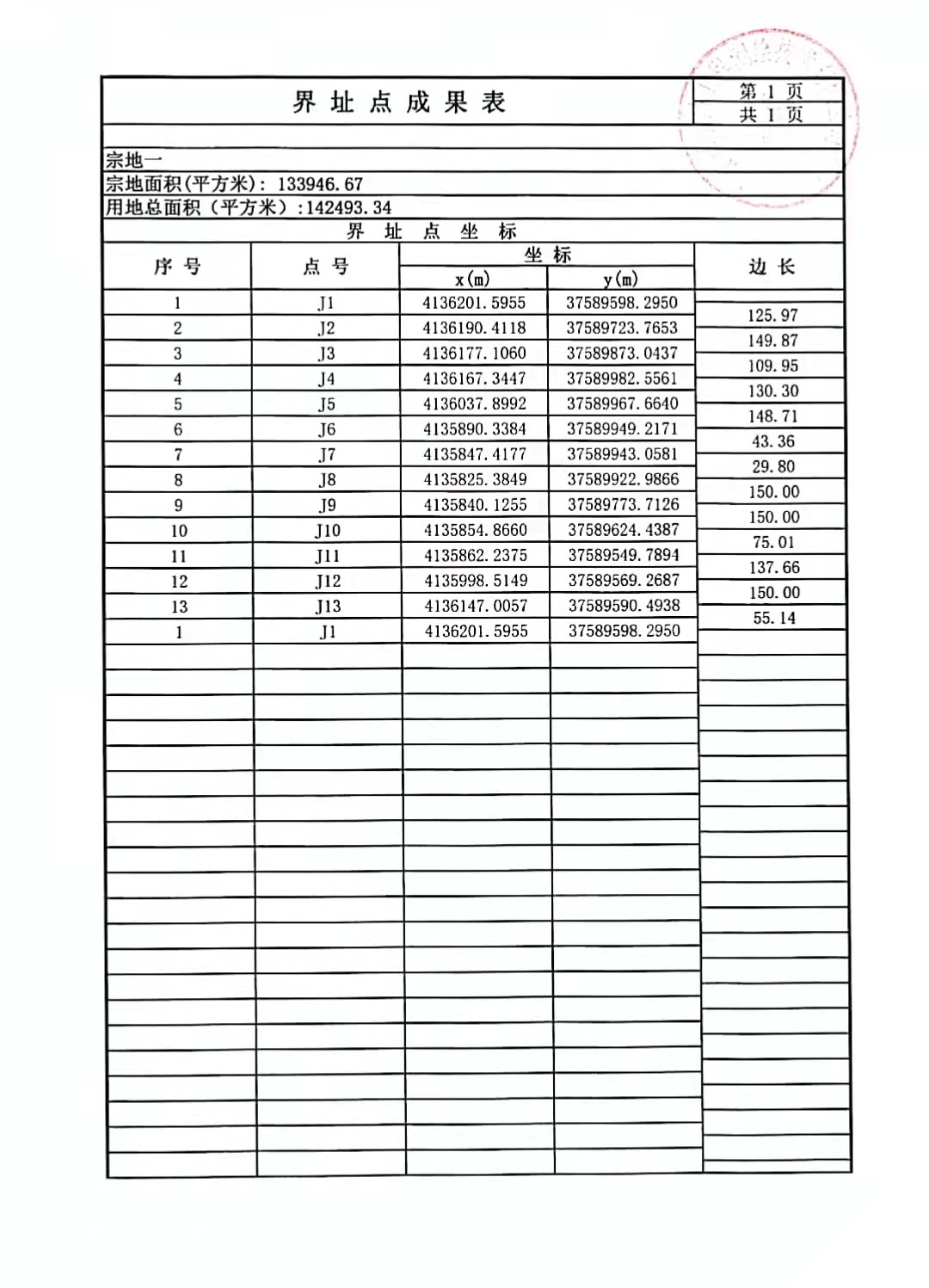
  四、征收范围:苏家堡村,详见坐标。

  五、土地调查现状:农用地14.2493公顷(其中水浇地13.7285公顷、沟渠0.5008公顷、农村道路0.0200公顷)

  六、征收目的:工矿仓储用地。

  七、补偿标准金额:按山西省人民政府《关于公布全省征地区片综合地价的通知》(晋政发〔2020〕16号)标准补偿,水浇地87.4785万元/公顷,沟渠、农村道路72.8985万元/公顷,土地补偿费495.5656万元,安置补助费743.3486万元,征地补偿费合计1238.9142万元。

  八、补偿费支付方式:财政拨款。

  九、补偿费支付对象:苏家堡村村委及相关权利人员。

  十、安置方式:货币补偿、社保补贴。

  十一、社会保障:按照《山西省人民政府办公厅关于对被征地农民实行基本养老补贴的意见》(晋政办发〔2019〕10号)执行。

  十二、公告方式:公告栏张贴,并通过网络平台予以公开。

  十三、公告时间:30天。

  十四、公告地点:苏家堡村村委。

  十五、补偿登记时间、地点等事项:公告期满前两日内,在当地乡(镇)人民政府登记。

  十六、异议反馈渠道:若对征地补偿安置方案有异议,应在公告期内向县自然资源局书面反馈。

  十七、复议诉讼权利:若对征地补偿安置方案有异议,在60日内向吕梁市人民政府申请行政复议,或六个月内向人民法院提起行政诉讼。

  (联系人:宁晓东  联系电话:18635831108



  山西文水经济开发区管理委员会

  202199